Contoh Soal Integral Pecahan dan Pembahasannya yang Mudah Untuk Belajar
 
                                    --
Baca juga: Rekomendasi Keramik Motif Batu Kerikil Alami, Bikin Kesan Natural Untuk Kamar Mandi
(A + B) x + B – A = 1
Sehingga
B – A = 1 , dan A + B = 0
Didapatkan B = ½ dan A = – ½
Maka, dengan menggunakan sifat integral diperoleh

= ½ (- ln |x + 1| + ln |x – 1| + C1)
= – ½ ln |x + 1| + ½ ln |x – 1| + C, dengan C = ½ C1
Selanjutnya akan dibahas mengenai integral eksponensial.
Contoh Soal Integral Pecahan
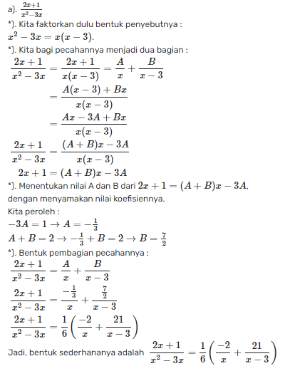
Bagilah bentuk pecahan berikut menjadi bentuk yang lebih sederhana:

Jawaban:


Nah, itu dia informasi mengenai contol soal integral pecahan dan pembahasannya yang dapat kami sampaikan. Semoga informasi di atas bisa bermanfaat!
 
                    