Materi Dilatasi Matematika Kelas 9 SMP, Lengkap Contoh Soal dan Pembahasannya
--
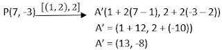
2. Tentukan bayangan titik P(7, -3) oleh dilatasi [(1,2),2]!
Penyelesaian:


3. Tentukan persamaan bayangan kurva y = 4x – 3 jika didilatasikan oleh (O, 3)!
Penyelesaian:
Misal titik x1 dan y1 ada pada kurva y = 4x – 3
- x1’ = bayangan x1
- Dan y1’ = bayangan y1
- x1’ = 3x1
- y1’ = 3y1
Bayangan kurva : y’ = 4x’ – 3
3y1 = 4(3x1) – 3
3y = 12x – 3
y = 4x – 1
Jadi, bayangan kurvanya adalah y = 4x – 1
Baca juga: Nama-Nama Gunung di Pulau Jawa, Masih Banyak yang Aktif Hingga Jadi Objek Wisata Populer
Baca juga: Daftar Kerajaan Islam di Pulau Jawa dan Sejarah Masuknya Islam ke Nusantara
Baca juga: Mengenal Alas Purwo, Taman Nasional Di Ujung Tenggara Pulau Jawa
Demikian informasi mengenai materi dilatasi beserta contoh soal dan pembahasan. Semoga artikel kali ini bisa bermanfaat untuk kalian dalam belajar materi dilatasi.