Contoh Soal Integrasi Numerik Dengan Metode Trapezoida, Coba Latihan di Sini!
--
Contoh Soal Integral Metode trapezoid
Soal :
Metode trapezoid


Lanjutkan sampai f(x10) kemudian hitung integralnya menggunakan rumus:
Tabel integral metode trapezoid
|
x |
f(x) |
Integral |
|
0,2 |
0,816497 |
0,346119 |
|
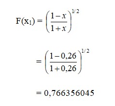
0,26 |
0,766356 |
|
|
0,32 |
0,717741 |
|
|
0,38 |
0,67028 |
|
|
0,44 |
0,62361 |
|
|
0,5 |
0,57735 |
|
|
0,56 |
0,531085 |
|
|
0,62 |
0,484322 |
|
|
0,68 |
0,436436 |
|
|
0,74 |
0,386556 |
|
|
0,8 |
0,333333 |

Baca juga: Cara Rental Mobil Di Pare Kediri Lengkap Dengan Syarat Serta Tips dan Triknya Biar Tidak Boncos
Baca juga: Cara Mengisi Nomor Registrasi Akta Kelahiran di Aplikasi Dapodik, Perhatian Letaknya Ya!
Baca juga: Surat Warisan Tanah Dari Orang Tua Kepada Anak PDF, Mudah dan Langsung Diedit!
Itu dia pembahasan sekilas mengenai contoh soal integrasi numerik dengan metode trapezoida. Semoga bermanfaat.